แนวทางเคมียั่งยืน
แนวคิดของเคมีสีเขียว
เคมีสีเขียว (Green Chemistry) หรือ เคมีเพื่อความยั่งยืน (Sustainable Chemistry) เป็นแนวคิดที่ได้รับการพัฒนาและเผยแพร่โดยสำนักงานปกป้องสิ่งแวดล้อมแห่งสหรัฐอเมริกา (US Environmental Protection Agency: EPA) ในช่วงทศวรรษ 1990 โดยมีเป้าหมายสำคัญในการออกแบบสารเคมีและกระบวนการที่ปลอดภัยยิ่งขึ้น เพื่อลดผลกระทบเชิงลบต่อสิ่งแวดล้อม ขณะเดียวกันยังคงรักษาความคุ้มค่าและความสามารถในการแข่งขันทางเศรษฐกิจอย่างยั่งยืน
เคมีสีเขียว ถูกนิยามว่าเป็น “การออกแบบผลิตภัณฑ์และกระบวนการทางเคมีเพื่อลดหรือขจัดการใช้และการเกิดของสารอันตราย” (1,2) ในช่วงสองทศวรรษที่ผ่านมา ได้มีการจัดตั้งโครงการและนโยบายด้านเคมีสีเขียวขึ้นทั่วโลกเป็นจำนวนมาก โดยประเทศที่มีบทบาทสำคัญในระยะแรก ได้แก่ สหรัฐอเมริกา สหราชอาณาจักร และอิตาลี
โครงการสำคัญในระยะเริ่มแรกของเคมีสีเขียว ได้แก่
- US Presidential Green Chemistry Challenge Awards (1995) – รางวัลที่จัดตั้งขึ้นโดยรัฐบาลสหรัฐฯ เพื่อส่งเสริมการพัฒนาเทคโนโลยีและกระบวนการทางเคมีที่เป็นมิตรต่อสิ่งแวดล้อม
- Green Chemistry Institute (1997) – องค์กรที่ก่อตั้งขึ้นเพื่อส่งเสริมงานวิจัยและพัฒนาเทคโนโลยีด้านเคมีสีเขียว
- วารสาร Green Chemistry ของ Royal Society of Chemistry (1999) – การตีพิมพ์วารสารทางวิชาการที่มุ่งเน้นการเผยแพร่ผลงานวิจัยด้านเคมีสีเขียว
การออกแบบ (Design) เป็นองค์ประกอบที่สำคัญที่สุดของหลักเคมีสีเขียว เนื่องจากการออกแบบเป็นกระบวนการที่เกิดจากความตั้งใจของมนุษย์ ซึ่งไม่สามารถเกิดขึ้นได้โดยบังเอิญ การออกแบบมีความเกี่ยวข้องกับ ความแปลกใหม่ (Novelty), การวางแผน (Planning), และแนวคิดเชิงระบบ (Systematic Conception) หลักการ 12 ประการของเคมีสีเขียว ถือเป็น "กฎสำหรับการออกแบบ" ที่ช่วยให้นักเคมีสามารถพัฒนากระบวนการทางเคมีที่ยั่งยืนได้อย่างมีเป้าหมาย โดยมุ่งเน้นที่ การวางแผนอย่างรอบคอบในการสังเคราะห์สารเคมี (Chemical Synthesis) และการออกแบบโมเลกุลเพื่อลดผลกระทบที่ไม่พึงประสงค์ (Molecular Design to Minimize Adverse Effects)
ในปี 1998 Paul Anastas และ John Warner ได้ประมวลหลักการ 12 ข้อของเคมีสีเขียว ซึ่งเป็นกรอบแนวทางที่ชัดเจนสำหรับการออกแบบกระบวนการทางเคมีที่ยั่งยืน หลักการดังกล่าวให้ความสำคัญกับ เศรษฐกิจอะตอม (Atom Economy), ประสิทธิภาพด้านพลังงาน (Energy Efficiency), การใช้ วัตถุดิบที่สามารถหมุนเวียนได้ (Renewable Feedstocks) และการพัฒนาสารเคมีที่มีความปลอดภัยยิ่งขึ้น (Safer Chemical Design) เพื่อรองรับการเปลี่ยนแปลงสู่ความยั่งยืนในอุตสาหกรรมเคมีอย่างเป็นระบบ
หลักการ 12 ประการของเคมีสีเขียวเป็น เกณฑ์หรือแนวทางในการออกแบบ ที่ใช้เป็นกรอบสำหรับพัฒนาสารเคมีและกระบวนการทางเคมีที่ปลอดภัยและเป็นมิตรต่อสิ่งแวดล้อม หลักการเหล่านี้เป็นแนวทางสำคัญในการลดผลกระทบทางลบที่เกี่ยวข้องกับสารเคมีและกระบวนการผลิต
การลดความเสี่ยงผ่านการออกแบบที่ปลอดภัยยิ่งขึ้น โดยทั่วไปแล้ว เคมีมักถูกมองว่าเป็นศาสตร์ที่อันตราย และคนโดยทั่วไปมักเชื่อมโยงคำว่า "สารเคมี" (Chemical) กับ "สารพิษ" (Toxicity) แม้ว่าการป้องกันความเสี่ยงสามารถทำได้โดยใช้มาตรการด้านความปลอดภัย เช่น อุปกรณ์ป้องกันส่วนบุคคล (PPE) แต่เมื่อมาตรการเหล่านี้ล้มเหลว ความเสี่ยง (Risk) ซึ่งเป็นผลมาจาก "อันตราย (Hazard) × การรับสัมผัส (Exposure)" จะเพิ่มขึ้นอย่างมีนัยสำคัญ หากอันตรายของสารเคมีสูงและมาตรการควบคุมการได้รับสัมผัสล้มเหลว ผลที่ตามมาอาจรุนแรง เช่น อาการบาดเจ็บหรือการเสียชีวิต ดังนั้น แนวทางของเคมีสีเขียวจึงมุ่งเน้นไปที่ การลดอันตรายที่แท้จริงของสารเคมีและกระบวนการผลิต แทนที่จะพึ่งพาเฉพาะมาตรการควบคุมการได้รับสัมผัส
เป้าหมายหลักของ เคมีสีเขียว คือ การลดอันตราย (Hazard) ในทุกขั้นตอนของวัฏจักรชีวิตของสารเคมี ซึ่งได้รับการพิสูจน์แล้วว่ามีความคุ้มค่าทางเศรษฐกิจ อันตรายในบริบททางเคมีหมายถึง ความสามารถในการก่อให้เกิดผลกระทบที่เป็นอันตรายต่อสุขภาพของมนุษย์หรือสิ่งแวดล้อม อันตรายของสารเคมีและกระบวนการทางเคมีสามารถถูกออกแบบให้ลดลงได้ในทุกระดับของกระบวนการ ไม่ว่าจะเป็น
ความเป็นพิษ (Toxicity) ต่อมนุษย์และสิ่งแวดล้อม
อันตรายทางกายภาพ (Physical Hazards) เช่น การระเบิด (Explosion) และการติดไฟ (Flammability)
อันตรายระดับโลก (Global Hazards) เช่น การทำลายชั้นโอโซนในบรรยากาศสตราโตสเฟียร์ (Stratospheric Ozone Depletion) ความเสี่ยง (Risk)
ที่เกี่ยวข้องกับอันตรายเหล่านี้อาจเกิดขึ้นจากลักษณะของวัตถุดิบ (Feedstock) และวัตถุดิบตั้งต้น (Raw Materials) ที่ใช้ในกระบวนการทางเคมี
คุณสมบัติของผลิตภัณฑ์สุดท้าย (Final Products) ที่ได้จากกระบวนการทางเคมี
หลักการทั้ง 12 ข้อ ประกอบไปด้วย
1. นิยามของการทดแทนในบริบทการจัดการสารเคมีอันตราย
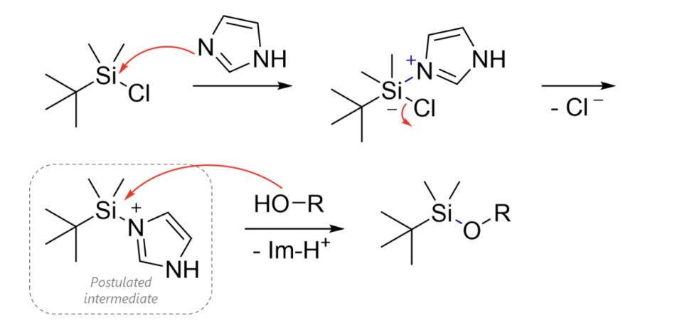
การทดแทน (Substitution) นับเป็นมาตรการเชิงรุกที่มีความสำคัญในการลดผลกระทบจากสารและวัสดุที่เป็นอันตราย โดยมีบทบาทอย่างยิ่งในด้านสุขภาพและความปลอดภัยในการทำงาน แนวคิดนี้ได้รับการกำหนดไว้อย่างชัดเจนในคำสั่งที่ 540 ของกระทรวงแรงงานเดนมาร์ก ซึ่งระบุว่า “ห้ามใช้สารหรือวัสดุที่อาจเป็นอันตรายหรือส่งผลลดทอนความปลอดภัยหรือสุขภาพ หากสามารถหาสารหรือวัสดุอื่นที่ไม่มีอันตราย มีอันตรายน้อยกว่า หรือก่อความระคายน้อยกว่ามาทดแทนได้”
นอกจากนี้ Directive 89/391/EEC (Framework Directive)[1] กฎหมายของสหภาพยุโรป (EU) ระบุไว้ว่า การทดแทนสารเคมีอันตราย หมายถึง กระบวนการนำหลักการพื้นฐานของ “การแทนที่สิ่งที่อันตรายด้วยสิ่งที่ไม่อันตรายหรือมีอันตรายน้อยกว่า” มาปรับใช้ในการจัดการความเสี่ยงทางเคมี อีกทั้งสหภาพยุโรปยังออกกฎหมายใหม่เกี่ยวกับสารเคมี เช่น Regulation No 1907/2006 (REACH: Regulation, Evaluation, Authorization, and Restriction of Chemicals)[2] สารที่ถือว่าเป็น สารที่น่ากังวลอย่างยิ่ง เช่น สารก่อมะเร็ง สารก่อการกลายพันธุ์ และสารมีพิษต่อการเจริญพันธุ์ รวมถึงสารที่คงตัวและสะสมในสิ่งแวดล้อม และสารที่มีลักษณะใกล้เคียงกัน ต้องได้รับการวิเคราะห์ทางเลือกที่เหมาะสม โดยคำนึงถึงความเสี่ยง ความเป็นไปได้ทางเทคนิค และเศรษฐกิจ อีกทั้งยังต้องยื่นแผนการทดแทนพร้อมกำหนดการปฏิบัติ หากมีทางเลือกที่เหมาะสม

เพื่อช่วยให้การนำแนวคิดการทดแทนไปใช้ในสถานการณ์จริงเป็นไปอย่างเป็นระบบ การจัดประเภทของการทดแทนออกเป็นระดับต่าง ๆ ถือเป็นประโยชน์อย่างยิ่ง วิธีการนี้ไม่เพียงทำให้ความหมายของการทดแทนชัดเจนขึ้น แต่ยังช่วยสนับสนุนการตัดสินใจในกระบวนการทำงานที่เฉพาะเจาะจง
หลักการพื้นฐานที่เป็นแกนสำคัญในทุกระดับของการทดแทน คือ การกำจัดหรือแทนที่สารหรือวัสดุที่เป็นอันตรายในกระบวนการทำงานที่ระบุไว้ ทั้งนี้ Sorensen และ Styhr Petersen ได้เสนอการแบ่งประเภทของการทดแทนออกเป็นสามระดับ ซึ่งช่วยให้กระบวนการนี้มีความเป็นระบบมากยิ่งขึ้น ดังนี้
| ระดับ | สารเคมี | วิธีการ | กระบวนการ |
|---|---|---|---|
| ระดับ 1 | เปลี่ยนแปลง | ไม่เปลี่ยนแปลง | ไม่เปลี่ยนแปลง |
| ระดับ 3 | เปลี่ยนแปลง | เปลี่ยนแปลง | ไม่เปลี่ยนแปลง |
| ระดับ 3 | เปลี่ยนแปลง | เปลี่ยนแปลง | เปลี่ยนแปลง |
ระดับ 1: เปลี่ยนเฉพาะสารที่ใช้ แต่วิธีการ และกระบวนการยังคงเดิม
ระดับ 2: เปลี่ยนทั้งสารและวิธีการ แต่กระบวนการยังคงเหมือนเดิม
ระดับ 3: เปลี่ยนทั้งสาร วิธีการ และกระบวนการทั้งหมด
ตัวอย่าง: กระบวนการเชื่อม
ระดับ 1: ดีบุก/ตะกั่วสำหรับการบัดกรี เปลี่ยนแปลงเป็น ดีบุก/เงินสำหรับการบัดกรี
ระดับ 2: ฟลักซ์บัดกรีแบบเรซิน เปลี่ยนแปลงเป็น ฟลักซ์บัดกรีแบบล้างน้ำได้
ระดับ 3: การเชื่อมด้วยวิธีการบัดกรี เปลี่ยนแปลงเป็น การเชื่อมด้วยวิธีเชิงกล
ในกระบวนการการทดแทน ระหว่างระดับ 1 ถึงระดับ 2 การเปลี่ยนแปลงของสารเคมีได้นำไปสู่การเปลี่ยนแปลงวิธีการทำความสะอาดฟลักซ์ โดยในกรณีนี้เปลี่ยนจากการจุ่มในตัวทำละลายอินทรีย์ไปสู่การล้างด้วยน้ำ แม้ว่าวิธีการจะเปลี่ยนไป กระบวนการกำจัดคราบฟลักซ์ยังคงมีความจำเป็น ซึ่งสอดคล้องกับแนวคิดที่ว่า สารหรือวัสดุที่ใช้ในกระบวนการเริ่มต้นจะถูกกำจัดออกจากกระบวนการทำงานในที่สุดในทุกระดับของการทดแทน
การพิจารณาเรื่องการทดแทนไม่ได้มีความสำคัญเฉพาะในกระบวนการที่มีอยู่แล้วเท่านั้น แต่ยังมีบทบาทสำคัญในขั้นตอนการวางแผนงานใหม่ ๆ ด้วย เป้าหมายหลักของการทดแทนในทุกกรณีคือ การกำจัดหรือลดผลกระทบจากสารหรือวัสดุที่ก่อให้เกิดอันตรายต่อสุขภาพ
แม้ว่ามีขั้นตอนมากมายที่อาจดูเหมือนมีจุดประสงค์เดียวกันกับการทดแทน แต่มิได้ถือว่าเป็นการทดแทนในเชิงนิยาม ตัวอย่างเช่น การเปลี่ยนแปลงกระบวนการหรือวิธีการทำงานเพื่อปรับปรุงสภาพสุขภาพโดยไม่ได้เปลี่ยนแปลงสารหรือวัสดุ เช่น การเปลี่ยนจากกระบวนการฉีดด้วยมือไปสู่กระบวนการอัตโนมัติ หรือการเพิ่มการป้องกัน เช่น การติดตั้งหน้าจอป้องกันหรือการระบายอากาศในกระบวนการทำงาน
เราจึงได้กำหนดนิยามของการทดแทนว่า การทดแทนเริ่มต้นจากการมีสารหรือวัสดุที่เป็นอันตราย การทดแทนคือการกำจัดสารหรือวัสดุที่ก่อให้เกิดการพิจารณาการทดแทนออกจากกระบวนการทำงาน ซึ่งการกำจัดนี้อาจเกิดขึ้นในระดับใดระดับหนึ่งจากสามระดับที่กำหนดไว้
2. กระบวนการทำงานของการทดแทน
เมื่อมีการดำเนินการทดแทนหรือปฏิบัติงานใด ๆ การมีแผนการหรือกระบวนการทำงานที่ชัดเจนเป็นสิ่งสำคัญ จุดประสงค์ของกระบวนการทำงานนี้คือเพื่อให้แน่ใจว่าทุกแง่มุมของปัญหาได้รับการพิจารณาเสมอ เพื่อให้สามารถบรรลุวิธีแก้ปัญหาที่เหมาะสมที่สุด
กระบวนการทำงานสำหรับการทดแทนสามารถแบ่งออกเป็นหลายระยะ (รายละเอียดในภาพที่ 2) ซึ่งแต่ละระยะครอบคลุมแง่มุมเฉพาะของงาน และลำดับของระยะต่าง ๆ นี้อธิบายถึงการทดแทนในกระบวนการอย่างมีตรรกะ อย่างไรก็ตาม ในบางกรณีที่อาจไม่สามารถปฏิบัติตามกระบวนการดังกล่าวได้อย่างเคร่งครัด แต่สามารถใช้เป็นแผนพื้นฐานและปรับเปลี่ยนให้เหมาะสมตามความจำเป็นได้ โดยผู้ที่มีทักษะสามารถพลิกแพลงได้ตามสถานการณ์ ในทุกกรณี การทำเช่นนี้ยังช่วยให้เกิดการถ่ายทอดประสบการณ์ที่เป็นประโยชน์ในงานการทดแทนได้อีกด้วย

ภาพที่ 2 ทฤษฎีภูเขาน้ำแข็ง: กระบวนการทำงานของการทดแทน
การให้ความสำคัญในแต่ละระยะ มักมีแนวโน้มที่จะให้ความสนใจไปยังส่วนที่ปรากฏชัดเจนในกระบวนการ นั่นคือ "ระยะที่ 5: การตัดสินใจ" ซึ่งมักถือว่าเป็นจุดที่เกิดการเปลี่ยนแปลง อย่างไรก็ตาม มีระยะต่าง ๆ ก่อนการตัดสินใจที่สำคัญไม่ยิ่งหย่อนไปกว่ากัน โดยเฉพาะอย่างยิ่งระยะที่ 1 "การกำหนดปัญหา" ถือเป็นระยะที่สำคัญที่สุด เพราะเป็นการกำหนดขอบเขตของการทดแทน หากไม่มีการดำเนินการอย่างเป็นระบบ อาจนำไปสู่การตัดสินใจเร็วเกินไปหรือตัดสินว่าแนวทางแก้ไขไม่สามารถทำได้ ส่งผลให้เกิดความล้มเหลวในกระบวนการ เช่นเดียวกับเรือที่ชนเข้ากับภูเขาน้ำแข็งแล้วอาจไม่สามารถกลับมาตั้งตัวได้ก่อนที่จะจมลง
ในทุกระยะของกระบวนการ มีความสำคัญอย่างยิ่งที่จะต้องมีการติดต่ออย่างใกล้ชิดกับบริษัท และหารือปัญหากับพนักงานที่เกี่ยวข้องในกระบวนการตั้งแต่เนิ่น ๆ เนื่องจากพนักงานเหล่านี้มีความรู้เชิงลึกเกี่ยวกับกระบวนการทำงานและลักษณะเฉพาะของงาน อาจทราบถึงรายละเอียดที่ยากต่อการเข้าถึงของผู้ที่
ไม่มีประสบการณ์ตรง อีกทั้งเป็นพนักงานเองที่ต้องใช้งานผลิตภัณฑ์ใหม่และอาจต้องเปลี่ยนแปลงวิธีการทำงาน ซึ่งการปกป้องสุขภาพของพนักงานถือเป็นเป้าหมายสำคัญของการทดแทน การให้พนักงานเข้าใจถึงการพิจารณาต่าง ๆ เป็นข้อดีอย่างยิ่ง เพราะการนำเสนอคำตอบสำเร็จรูปโดยไม่ชี้แจงเหตุผลมักไม่ส่งผลดีในเชิงจิตวิทยา
หัวหน้างานเป็นส่วนสำคัญในกระบวนการนี้ พวกเขาเข้าใจถึงจุดประสงค์และข้อกำหนดของกระบวนการทำงาน รวมถึงเงื่อนไขทั่วไปในส่วนอื่น ๆ ของบริษัท และสามารถมีส่วนร่วมในการประเมิน เช่น การพิจารณาข้อกำหนดทางเทคนิคที่จำเป็นในการทดแทน หรือพิจารณาความเป็นไปได้ในการปรับเปลี่ยนข้อกำหนดทางเทคนิคเพื่อให้เหมาะสมกับสถานการณ์
2.1 การกำหนดปัญหา
การกำหนดปัญหาอย่างเหมาะสมเปิดโอกาสให้เกิดวิธีแก้ปัญหาที่ดีได้
ตัวอย่าง ในห้องปฏิบัติการเคยใช้สาร Acetone สำหรับการทำให้เครื่องแก้วแห้ง เนื่องจากทำให้เครื่องแก้วแห้งได้ค่อนข้างเร็ว แต่การทำงานกับ Acetone นั้นไม่เป็นที่พึงพอใจ สุดท้ายจึงมีการเปลี่ยนมาใช้การทำให้แห้งด้วยระบบลมแทน โดยเป่าลมให้เครื่องแก้วแห้งได้อย่างง่ายดาย
ตัวอย่างนี้สะท้อนถึงความสำคัญของการกำหนดปัญหา:
- การกำหนดปัญหา อาจระบุว่า “การทำงานกับ Acetone นั้นไม่เป็นที่พึงพอใจ เราต้องการหาสารอื่นมาแทน Acetone สำหรับการทำให้เครื่องแก้วแห้ง” แนวทางนี้อาจนำไปสู่การพิจารณาเอทานอลหรือสารทำละลายอื่น ๆ
- อีกแนวทางคือ “เราต้องการให้เครื่องแก้วในห้องปฏิบัติการแห้งอย่างรวดเร็ว แต่การใช้ Acetone ไม่เป็นที่พึงพอใจ เราสามารถทำให้เครื่องแก้วแห้งเร็วขึ้นด้วยวิธีอื่นได้หรือไม่?”
การกำหนดปัญหาคือการอธิบายลักษณะของปัญหาอย่างแม่นยำ: ปัญหาคืออะไร? มีพื้นหลังหรือที่มาของปัญหาอย่างไร? และควรตรวจสอบสิ่งใด?
การกำหนดปัญหาที่เหมาะสมส่งผลต่อการวางแนวทางแก้ปัญหาและทางเลือกที่เป็นไปได้ ดังนั้นการกำหนดปัญหาจึงต้องคำนึงถึงข้อจำกัดของทางแก้ เช่น มีความเป็นไปได้ในการพิจารณากระบวนการอื่นที่ไม่ใช้ผลิตภัณฑ์เคมีหรือไม่
เมื่อกำหนดปัญหาแล้ว จำเป็นต้องมองถึงกระบวนการทำงานทั้งหมด ไม่ใช่แค่ผลิตภัณฑ์ที่ใช้ แต่รวมถึงการทำงานก่อนหน้าและหลังจากนั้นด้วย เช่น กระบวนการทำงานมีอะไรบ้าง เกิดอะไรขึ้นในแต่ละขั้นตอน และจุดมุ่งหมายของกระบวนการทำงานคืออะไร
การกำหนดปัญหาที่ดีนั้น ควรรวมไปถึงการอธิบายสภาพการทำงาน ดังนั้นการเข้าเยี่ยมชมบริษัทในขั้นตอนนี้จึงเป็นสิ่งสำคัญ
ที่มาของการรับรู้ปัญหาอาจมาจากหลากหลายแหล่ง เช่น อุบัติเหตุ อาการเจ็บป่วย กลิ่นที่ระคายเคือง การรายงานข่าว หรือคำสั่งจากหน่วยงานด้านสิ่งแวดล้อมในการทำงานของทางภาครัฐ
องค์ประกอบสำคัญของการกำหนดปัญหา ได้แก่
- ปัญหาคืออะไร?
- ที่มาของปัญหาคืออะไร?
- สิ่งใดที่ควรตรวจสอบคืออะไร?
- รายละเอียดของผลิตภัณฑ์
- ข้อมูลของผลิตภัณฑ์
- ผลกระทบทางพิษวิทยาและสุขภาพ
- ผลกระทบต่อสุขภาพในสถานการณ์จริง
- รายละเอียดของการดำเนินงาน
- วัตถุประสงค์ของกระบวนการทำงาน
- รายละเอียดเกี่ยวกับการดำเนินงาน
- ความเชื่อมโยงกับส่วนอื่น ๆ ของงาน
- รายละเอียดเกี่ยวกับการสัมผัสสาร
ปัญหา ที่มา และเป้าหมายของการศึกษาได้อธิบายไว้ข้างต้นแล้ว ในส่วนต่อไปจะให้รายละเอียดเกี่ยวกับอีกสามองค์ประกอบที่เหลือ: รายละเอียดผลิตภัณฑ์ งาน และการสัมผัสสาร
2.1.1 รายละเอียดของผลิตภัณฑ์
2.1.1.1 ข้อมูลของผลิตภัณฑ์
การวิเคราะห์เนื้อหาผลิตภัณฑ์ควรได้รับข้อมูลและคำแนะนำจากบริษัท ผู้ผลิต หรือตัวแทนจำหน่าย และต้องแน่ใจว่าข้อมูลดังกล่าวไม่ล้าสมัย ควรติดต่อตัวแทนจำหน่ายหรือผู้ผลิตเพื่อขอรายละเอียดเชิงลึกเกี่ยวกับผลิตภัณฑ์ หากข้อมูลเกี่ยวกับองค์ประกอบของผลิตภัณฑ์ไม่ครบถ้วน จำเป็นต้องพิจารณาว่ารายละเอียดทั้งหมดนั้นสำคัญหรือไม่
นอกจากนี้ยังสามารถตรวจสอบข้อมูลเพิ่มเติมได้จากทะเบียนผลิตภัณฑ์ของหน่วยงานด้านสิ่งแวดล้อมของทางภาครัฐ
หากองค์ประกอบของผลิตภัณฑ์ไม่ชัดเจน จะไม่สามารถประเมินผลิตภัณฑ์ได้อย่างเหมาะสม
2.1.1.2 ผลกระทบทางพิษวิทยาและสุขภาพ
ภายในเอกสารเล่มนี้ จะให้รายละเอียดเพิ่มเติมเกี่ยวกับการเปรียบเทียบสารและวัสดุต่าง ๆ หนึ่งในวิธีที่ใช้คือ "การประเมินความเป็นพิษ" ซึ่งถือเป็นพื้นฐานสำคัญของการทดแทนสารเคมี
สิ่งที่ควรพิจารณาคือ: มีข้อมูลเกี่ยวกับผลกระทบที่ก่อความระคายเคืองต่อสุขภาพของผลิตภัณฑ์หรือไม่?
2.1.1.3 ผลกระทบต่อสุขภาพในสถานการณ์จริง
ในกรณีที่ข้อมูลเกี่ยวกับผลิตภัณฑ์ไม่ครบถ้วน โดยเฉพาะในกรณีของผลิตภัณฑ์ใหม่หรือกระบวนการและวิธีการที่เพิ่งพัฒนา ผลกระทบต่อสุขภาพอาจไม่สามารถระบุได้ชัดเจน หากไม่มีข้อมูลเกี่ยวกับผลกระทบต่อสุขภาพ ย่อมไม่สามารถประเมินความเสี่ยงที่เกี่ยวข้องกับการใช้ผลิตภัณฑ์นั้นได้
แนวทางสำรวจผลกระทบที่เกิดขึ้นจริง:
- ระบุระยะเวลาที่เกิดอาการระคายเคืองและอาการต่าง ๆ จะหายไปหลังสิ้นสุดเวลาทำงานหรือไม่ เช่น หลังวันทำงาน ช่วงสุดสัปดาห์ หรือในวันหยุด
- วิเคราะห์จำนวนผู้ได้รับผลกระทบและการกระจายผลกระทบในงานแต่ละประเภท
- ตรวจสอบความสัมพันธ์ระหว่างลักษณะของงานในกระบวนการที่ใช้ผลิตภัณฑ์และผลกระทบต่อสุขภาพ
2.1.2 รายละเอียดของการดำเนินงาน
2.1.2.1 วัตถุประสงค์ของกระบวนการทำงาน
การระบุวัตถุประสงค์ของกระบวนการทำงานให้ชัดเจนถือเป็นขั้นตอนสำคัญ เพื่อให้การทดแทนเกิดผลที่เหมาะสม ตัวอย่างเช่น หากเป้าหมายของกระบวนการทำงานคือการขจัดคราบน้ำมันบนวัสดุ อาจมีหลายทางเลือก ได้แก่ การใช้ตัวทำละลายอินทรีย์ สารที่ออกฤทธิ์ประเภทด่าง หรือแม้กระทั่งน้ำ อย่างไรก็ตาม ควรหลีกเลี่ยงการยึดติดกับแนวทางเดิม เช่น การตั้งคำถามว่า "จำเป็นต้องขจัดคราบน้ำมันหรือไม่?"
2.1.2.2 ความเชื่อมโยงกับส่วนอื่น ๆ ของงาน
ในบางกรณี การขจัดคราบน้ำมัน อาจจำเป็นหากวัสดุนั้นต้องการทาสี แต่ในบางครั้งอาจทำเพียงขั้นตอนก่อนการทาสีเท่านั้น ไม่จำเป็นต้องมีในทุกขั้นตอนของกระบวนการทำงาน การทดแทนสารเคมีในแต่ละขั้นตอนควรพิจารณาเป็นส่วนหนึ่งของภาพรวมทั้งหมดของสายการผลิต โดยเป้าหมายคือการลดความเสี่ยงด้านสุขภาพในภาพรวม
2.1.2.3 รายละเอียดของการดำเนินงาน
หากวัตถุประสงค์ของกระบวนการทำงานคือ การขจัดคราบน้ำมันบนวัสดุ จำเป็นต้องอธิบายขั้นตอนการดำเนินงาน เช่น วิธีการดำเนินงานเกิดขึ้นอย่างไร และเมื่อใดที่บุคคลเข้ามามีส่วนเกี่ยวข้อง ลักษณะของขั้นตอนการทำงานเป็นเช่นไร และมีความเสี่ยงหรือไม่ที่ปัจจัยมนุษย์จะนำไปสู่อุบัติเหตุในกระบวนการทำงาน
ปัจจัยที่ควรพิจารณา ได้แก่
- การมีส่วนร่วมของพนักงานในขั้นตอนไหนบ้าง
- ลักษณะประจำของกระบวนการทำงาน
- ความเสี่ยงจากการกระทำของมนุษย์ที่อาจนำไปสู่อุบัติเหตุ
2.1.3 รายละเอียดเกี่ยวกับการสัมผัสสาร
สภาพแวดล้อมทางกายภาพของพนักงานมีความสำคัญอย่างยิ่ง เมื่อต้องประเมินความเสี่ยงการสัมผัสสารที่เป็นอันตรายต่อสุขภาพ การเข้าใจระดับการสัมผัสสารจึงเป็นสิ่งจำเป็น
ปัจจัยสำคัญที่ต้องพิจารณา:
- ระยะเวลาและความถี่: สารเคมีถูกใช้งานนานแค่ไหนในแต่ละครั้งและบ่อยเพียงใด
- ปริมาณการใช้งาน: สารเคมีถูกใช้งานในปริมาณเท่าใด
- ความเสี่ยงต่อการสัมผัสโดยตรง: มีความเสี่ยงที่จะสัมผัสกับสารเคมีโดยตรงในระหว่างกระบวนการหรือจากอุบัติเหตุหรือไม่
- การสัมผัสผ่านไอระเหย ควัน หรือฝุ่น: มีความเสี่ยงต่อการสัมผัสในลักษณะนี้หรือไม่
- สถานะของมลพิษที่ถูกปล่อยออกมา: มลพิษออกมาในรูปแบบใด เช่น ไอระเหย ควัน ฝุ่น หยดเล็ก ๆ หรือการกระเซ็น
- อุณหภูมิของสารในระหว่างกระบวนการ: อุณหภูมิมีผลต่อความเสี่ยงหรือไม่
- สมบัติการติดไฟและการระเบิดของสาร: สารมีคุณสมบัติเสี่ยงต่อการติดไฟหรือการระเบิดหรือไม่
- ขนาดของพื้นผิวที่สารเคมีเกิดการระเหย
- ความเสี่ยงจากการสัมผัสสารประกอบที่เกิดขึ้นโดยบังเอิญ เช่น ละอองกรด/เบส ฝุ่น หรือไอระเหย
- ประสิทธิภาพของระบบระบายอากาศและการดูดอากาศ
- การใช้มาตรการความปลอดภัยส่วนบุคคล เช่น หน้ากาก ถุงมือ หรืออุปกรณ์ป้องกันอื่น ๆ
- การเกิดผลิตภัณฑ์สลายตัวจากสารเคมี
- อุณหภูมิและความชื้นในพื้นที่ทำงาน ซึ่งส่งผลต่อการแพร่กระจายของสารเคมี
- มาตรฐานด้านสุขาภิบาลและสุขอนามัยของพื้นที่ทำงาน
- กระบวนการทำความสะอาดพื้นที่ทำงาน
- ความเสี่ยงจากกระบวนการทำความสะอาดหรือซ่อมบำรุงที่อาจทำให้เกิดการสัมผัสสารเคมีเพิ่มเติม
- ประเภทและปริมาณสารเคมีที่ถูกปล่อยออกจากแหล่งกำเนิด สามารถตรวจสอบได้ด้วยการวิเคราะห์การระเหยของสาร
- ปริมาณสารเคมีที่เข้าสู่เขตหายใจของผู้ปฏิบัติงาน ซึ่งสามารถวัดได้โดยการตรวจสอบมลพิษทางอากาศในสถานที่ทำงาน
หากไม่มีข้อมูลเกี่ยวกับลักษณะการใช้งานของผลิตภัณฑ์ จะไม่สามารถประเมินความเสี่ยงในการทำงานกับผลิตภัณฑ์นั้นได้อย่างเหมาะสม
นอกจากนี้ ระดับของการออกแรงร่างกายทางกายภาพในการทำงาน เป็นอีกปัจจัยที่ส่งผลต่อระดับการสัมผัสสาร เนื่องจากเมื่อมีการใช้แรงมากขึ้น อากาศที่สูดเข้าไปก็จะเพิ่มขึ้น ทำให้สัมผัสกับมลพิษมากขึ้น อย่างไรก็ตาม ค่าขีดจำกัดการสัมผัสสารเคมี (Threshold Limit Value) มักไม่ได้คำนึงถึงความหนักของการออกแรงทางร่างกาย
สุดท้าย จำเป็นต้องมี การประเมินความเสี่ยงโดยรวมของการใช้ผลิตภัณฑ์ เพื่อให้สามารถกำหนดมาตรการควบคุมที่เหมาะสม
2.2 ขั้นตอนการสร้างแนวคิด
ขั้นตอนนี้เกี่ยวข้องกับการรวบรวมข้อมูลเกี่ยวกับแนวทางแก้ไขที่เป็นไปได้จากแหล่งข้อมูลต่าง ๆ โดยควรนำเสนอทุกแนวคิด ทั้งที่ดูเหมือนจะเป็นไปได้และเป็นไปไม่ได้
แนวทางที่ควรพิจารณา ได้แก่
- ความคิดเห็นของพนักงาน: พนักงานอาจมีข้อเสนอที่สามารถนำไปใช้ได้จริง
- ทะเบียนผลิตภัณฑ์: ค้นหาทางเลือกที่ได้รับการจดทะเบียนเพื่อใช้ทดแทน
- แนวทางจากอุตสาหกรรมอื่น: ตรวจสอบว่ามีแนวทางในสถานที่อื่นที่สามารถนำมาประยุกต์ใช้ได้
- ข้อมูลจากผู้ผลิตหรือตัวแทนจำหน่าย: ขอคำแนะนำเกี่ยวกับผลิตภัณฑ์ทางเลือก
- การคิดเชิงสร้างสรรค์: ไม่ควรจำกัดแนวคิดโดยยึดติดกับข้อจำกัดทางเทคนิคหรือค่าใช้จ่าย
ในขั้นตอนนี้ ไม่ควรปิดกั้นแนวทางใด ๆ ด้วยเหตุผลว่า "เป็นไปไม่ได้", "เกินจริง", "แพงเกินไป", หรือ "ยากเกินไป" รวมไปถึงข้อคิดเห็นที่ขึ้นต้นด้วย "มันมากเกินไปที่จะ..." ควรถูกหลีกเลี่ยงด้วยเช่นกัน
อาจใช้ตัวอย่างจากแหล่งข้อมูลต่าง ๆ รวมถึงศึกษากรณีตัวอย่างเพื่อสร้างแรงบันดาลใจ นอกจากนี้ยังควร ศึกษาว่าอุตสาหกรรมอื่นจัดการกับกรณีที่คล้ายกันอย่างไร
เป้าหมายสำคัญคือ มุ่งเน้นไปที่ การค้นหาวิธีดำเนินงานโดยหลีกเลี่ยงการใช้สารเคมีให้มากที่สุด
2.3 เกณฑ์การประเมิน
ในขั้นตอนนี้ จะมีการกำหนดเกณฑ์ที่ใช้ในการประเมินทางเลือกต่าง ๆ เกณฑ์อาจรวมถึงตัวอย่างต่อไปนี้:
- ทางเลือกต้องส่งเสริมสุขภาพให้ดีขึ้นอย่างแท้จริง
- ทางเลือกต้องไม่ก่อให้เกิดปัญหาใหม่ในสภาพแวดล้อมการทำงาน เช่น ปัญหาด้านการยศาสตร์
- ระดับมลพิษจากการทดแทนต้องไม่เกินกว่าค่าขีดจำกัดที่กำหนด (เช่น ไม่เกิน 1/10 ของค่าขีดจำกัด)
- ทางเลือกต้องไม่ก่อให้เกิดผลกระทบระคายเคืองต่อพนักงานในทันที
- ทางเลือกต้องไม่เพิ่มความยุ่งยากในการทำงาน
- ทางเลือกต้องไม่มีสารที่ถูกสงสัยว่ามีฤทธิ์ก่อมะเร็ง ทำให้เกิดความผิดปกติทางพันธุกรรม ก่อให้เกิดอาการแพ้ หรือสร้างความเสียหายเรื้อรังต่อสุขภาพ
- ทางเลือกต้องไม่ส่งผลกระทบในทางลบต่อสิ่งแวดล้อมภายนอก
จำนวนของเกณฑ์สามารถปรับให้มากขึ้นหรือน้อยลงได้ตามความเหมาะสม และควรเรียงลำดับความสำคัญของเกณฑ์เพื่อให้สามารถมุ่งเน้นที่ประเด็นสำคัญที่สุดได้อย่างชัดเจน
นอกจากเกณฑ์ที่กำหนดแล้ว บริษัทอาจมีข้อกำหนดเกี่ยวกับทางเลือกที่ต้องนำมาพิจารณาด้วย เช่น:
- ทางเลือกต้องสามารถขจัดคราบน้ำมันได้ 100%
- ต้นทุนของทางเลือกต้องไม่เพิ่มขึ้นเกิน 50%
- ทางเลือกต้องไม่ลดประสิทธิภาพการผลิต
สิ่งสำคัญที่จะต้องหารือเกี่ยวกับข้อกำหนดเหล่านี้ เช่น จำเป็นหรือไม่ที่ทางเลือกต้องมีประสิทธิภาพเทียบเท่ากับผลิตภัณฑ์เดิม? หรือ เพียงพอหรือไม่ที่ทางเลือกมีประสิทธิภาพในระดับที่ยอมรับได้?
ตัวอย่างเช่น ระดับประสิทธิภาพของการขจัดคราบน้ำมันขึ้นอยู่กับว่าวัสดุจะถูกนำไปทาสีหรือเชื่อมต่อหลังจากนั้นหรือไม่ ดังนั้น ควรตรวจสอบว่าข้อกำหนดเหล่านี้มีเหตุผลจริง หรือเป็นเพียงแนวคิดที่เกิดจาก "การทำตามแบบเดิม"
2.4 การอธิบายและประเมินทางเลือก
ในขั้นตอนนี้ จะมีการวิเคราะห์แนวทางที่เกิดขึ้นจากกระบวนการสร้างแนวคิด จำเป็นต้องมีแนวทางที่สมจริงก่อนที่จะใช้เวลาไปกับรายละเอียดเพิ่มเติม
แนวทางที่ดูเป็นไปไม่ได้มากและขาดความสมเหตุสมผลจะถูกคัดออก อย่างไรก็ตาม ไม่ควรปิดโอกาสมากเกินไป เพราะหลายครั้งผู้คนมักพบว่า สิ่งที่คิดว่าเป็นไปไม่ได้ กลับสามารถทำได้จริง
กระบวนการประเมินทางเลือกควรอธิบายและประเมินทางเลือกในลักษณะเดียวกับผลิตภัณฑ์เดิม
2.4.1 การประเมินแต่ละทางเลือกโดยใช้เกณฑ์ที่กำหนดไว้
เมื่อตรวจสอบภาพรวมของทางเลือกในบริบทของสภาพแวดล้อมการทำงานแล้ว ขั้นตอนนี้จะเน้นการเปรียบเทียบทางเลือกกับเกณฑ์ที่ได้กำหนดไว้
การย้อนกลับไปยังขั้นตอนก่อนหน้า:
- ในบางกรณี อาจจำเป็นต้องปรับเกณฑ์เดิม หรือเพิ่มพารามิเตอร์ใหม่ในการประเมิน
- อาจจำเป็นต้องประเมินใหม่ว่าทางเลือกสามารถตอบสนองข้อกำหนดทางเทคนิคของบริษัทได้หรือไม่
- ความน่าเชื่อถือของข้อมูลทางเทคนิค
- การประเมินว่าทางเลือกสามารถตอบสนองข้อกำหนดทางเทคนิค ซึ่งมักต้องพึ่งพาข้อมูลจากผู้ผลิตหรือผู้เชี่ยวชาญด้านเทคนิคของบริษัท
- เพื่อหลีกเลี่ยงความเข้าใจผิด อาจให้ หน่วยงานด้านสุขภาพและความปลอดภัยในการทำงานรับผิดชอบการตรวจสอบคุณสมบัติทางเทคนิคของผลิตภัณฑ์
- อาจให้ตัวแทนจำหน่ายติดต่อโดยตรงกับบริษัท เพื่อให้มีการสื่อสารที่ชัดเจนและไม่เกิดการคาดหวังเกินจริง
2.4.2 การประเมินทางเลือกโดยเปรียบเทียบและตามเกณฑ์ที่กำหนด
เมื่อพิจารณาตามขั้นตอนก่อนหน้า การเลือกแนวทางที่เหมาะสมที่สุดจากตัวเลือกที่มี ไม่ควรเป็นเรื่องยากจนเกินไป และอาจเสนอหนึ่งหรือหลายทางเลือกที่มีความเป็นไปได้สูง
2.5 การตัดสินใจ
ขั้นตอนนี้หมายถึง การตัดสินใจร่วมกับบริษัท
เมื่อมีการตัดสินใจแล้ว อาจรู้สึกว่าควรสรุปงานทันที แต่กระบวนการทดแทนที่มีประสิทธิภาพไม่สามารถถือว่าสิ้นสุดได้จนกว่าผลิตภัณฑ์ที่เลือกจะได้รับการทดสอบในสภาพแวดล้อมจริงและได้รับการประเมิน
หลังจากการพิจารณาอย่างรอบคอบ มักจะเหลือเพียงหนึ่งหรือสองทางเลือกที่เหมาะสมที่สุด ซึ่งสามารถเลือกได้ผ่านการปรึกษาหารือกับบริษัท อย่างไรก็ตาม ขั้นตอนนี้อาจใช้เวลานานและมีความซับซ้อน เนื่องจากฝ่ายต่าง ๆ ในองค์กร เช่น ผู้บริหาร พนักงาน คณะกรรมการด้านความปลอดภัย และผู้จัดการในแผนกต่าง ๆ อาจมีความคิดเห็นที่ไม่ตรงกัน
นอกจากนี้ ยังต้องตรวจสอบว่า มีปัจจัยที่ไม่ได้กล่าวถึงโดยตรงหรือไม่ ที่อาจส่งผลต่อการตัดสินใจ ในบางกรณีอาจจำเป็นต้องใช้ทักษะด้านการโน้มน้าวใจเพื่อให้ทุกฝ่ายเห็นพ้องกัน
2.6 การดำเนินการ
การมีส่วนร่วมของพนักงานที่เกี่ยวข้องเป็นสิ่งสำคัญในขั้นตอนนี้ ต้องมีการหารือกับผู้ที่ต้องปฏิบัติงานภายใต้แนวทางการทดแทนที่กำหนด
ข้อควรคำนึงถึง ได้แก่
- ไม่ใช่ทุกคนที่ต้องการให้เกิดการทดแทน ดังนั้น ควรมีการพูดคุยเกี่ยวกับข้อดีและข้อเสียของผลิตภัณฑ์ใหม่
- อธิบายถึงเหตุผลที่ผลิตภัณฑ์ใหม่นั้นมีประโยชน์และควรถูกนำมาใช้
นอกจากนี้ ควรกำหนดช่วงเวลาสำหรับการทดลองใช้ผลิตภัณฑ์ และปรึกษากับพนักงานเกี่ยวกับปัจจัยที่ต้องสังเกตในระหว่างช่วงเวลาทดสอบ
2.7 การควบคุมและติดตามผล
หลังจากสิ้นสุดระยะทดลองใช้งาน สามารถดำเนินการประเมินผลตามแนวทางต่อไปนี้:
- ผลิตภัณฑ์ตรงตามเกณฑ์ที่กำหนดไว้ในตอนแรกหรือไม่?
- ผลกระทบต่อสุขภาพลดลงหรือไม่?
- มีสัญญาณของผลกระทบใหม่ต่อสุขภาพ จากการใช้ผลิตภัณฑ์ใหม่หรือไม่?
- มีปัญหาใหม่ในสภาพแวดล้อมการทำงานเกิดขึ้นหรือไม่ เช่น ปัญหาด้านการยศาสตร์?
- ระดับการสัมผัสสารของพนักงานเปลี่ยนแปลงไปหลังจากนำกระบวนการใหม่มาใช้หรือไม่? - หากมีข้อสงสัย อาจใช้การตรวจวัดมลพิษทางอากาศในสถานที่ทำงานเพื่อประเมินผล
- บริษัทและผู้ใช้งานผลิตภัณฑ์พึงพอใจต่อกระบวนการผลิตที่เกิดขึ้นหรือไม่?
- ปัญหาทั้งหมดได้รับการแก้ไขแล้วหรือไม่ หรือจำเป็นต้องมีการปรับปรุงเพิ่มเติม เช่น การติดตั้งระบบดูดอากาศ?
- มีความจำเป็นต้องทดลองใช้ผลิตภัณฑ์อื่น หรือควรเริ่มกระบวนการใหม่ตั้งแต่ต้นหรือไม่?
เครื่องมือสำหรับการประเมินความเป็นอันตรายของสารเคมี
เมื่อมีการเปลี่ยนแปลงสารหรือวัสดุใด ๆ สิ่งสำคัญคือต้องมีการประเมินคุณสมบัติด้านสุขภาพของสารหรือวัสดุนั้นอย่างมีหลักเกณฑ์ รวมถึงการพิจารณาทางเลือกที่เกี่ยวข้องด้วย เพื่อให้มั่นใจว่าการเปลี่ยนแปลงดังกล่าวจะส่งผลให้สภาพด้านสุขภาพดีขึ้นอย่างแท้จริง เครื่องมือจำนวนหนึ่งที่สามารถใช้ในการประเมินดังกล่าวได้ ซึ่งจะกล่าวถึงบางส่วนในหัวข้อต่อไปนี้
การประเมินความเป็นพิษ (Toxicity Assessment) ถือว่ามีความสำคัญเป็นพิเศษ เนื่องจากไม่สามารถกล่าวถึงความเสี่ยงจากการทำงานกับผลิตภัณฑ์ใด ๆ ได้ หากยังไม่มีข้อมูลเกี่ยวกับอันตรายต่อสุขภาพ หรือยังไม่ได้ดำเนินการประเมินความเป็นพิษเพื่อประกอบการพิจารณาแทนที่สารหรือวัสดุเดิม การประเมินดังกล่าวจึงเป็นพื้นฐานสำคัญที่จำเป็นสำหรับการตัดสินใจเกี่ยวกับการจัดการความเสี่ยงและการเลือกใช้สารทดแทนที่ปลอดภัยยิ่งขึ้น. สิ่งสำคัญที่ควรตระหนักคือ การแทนที่สารเคมี (Substitution) จำเป็นต้องดำเนินการบนพื้นฐานของการประเมินภาพรวมทั้งหมดของสถานการณ์การทำงาน รวมถึงสารเคมีที่เกี่ยวข้อง ไม่สามารถดำเนินการแทนที่ได้โดยอาศัยการนั่งวิเคราะห์เพียงอย่างเดียวหรือใช้เครื่องมือประเมินใดเพียงหนึ่งชนิดเท่านั้น ในทางปฏิบัติมักต้องอาศัยเครื่องมือหลายชนิดร่วมกัน และที่สำคัญที่สุดคือจะต้องมีการประเมินความเป็นพิษอย่างใดอย่างหนึ่งเสมอ เพื่อให้มั่นใจว่าได้ศึกษาความเสี่ยงต่อสุขภาพจากการใช้สารหรือวัสดุนั้นแล้ว
1. ค่าขีดจำกัดการรับสัมผัสสาร (Threshold Limit Value: TLV):
เป็นค่ามาตรฐานที่กำหนดระดับความเข้มข้นของสารเคมีในอากาศที่บุคคลสามารถสัมผัสได้ในระยะเวลาที่กำหนดโดยไม่ก่อให้เกิดผลเสียต่อสุขภาพ
ค่าขีดจำกัดการรับสัมผัสสาร เป็นมาตรฐานเชิงบริหารสำหรับการปนเปื้อนในอากาศ ซึ่งกำหนดโดยสมาคมนักสุขศาสตร์อุตสาหกรรมแห่งอเมริกา (ACGIH) ทั้งนี้ ตามคำแนะนำดังกล่าว ค่า TLV หมายถึง ค่าความเข้มข้นสูงสุดของสารเคมีที่ไม่ควรถูกเกินขีดจำกัด โดยคำนวณจากค่าเฉลี่ยถ่วงน้ำหนักตามเวลาในช่วงระยะเวลาการทำงาน 8 ชั่วโมงต่อวัน ค่า TLV ถูกกำหนดขึ้นบนพื้นฐานของเอกสารข้อมูลด้านสุขภาพที่มีอยู่ และได้มีการพิจารณาทั้งในมุมมองทางเทคนิคและเศรษฐกิจ การพิจารณาเหล่านี้ดำเนินการโดยสภาสภาพแวดล้อมการทำงาน (Working Environment Council) ดังนั้น ค่า TLV จึงเป็นการสะท้อนถึงข้อตกลงระหว่างฝ่ายนายจ้างและฝ่ายลูกจ้าง ค่า TLV อาจถูกกำหนดโดยคำนึงถึงผลกระทบต่อสุขภาพ ตัวอย่างเช่น ประมาณ 40% ของค่า TLV ถูกกำหนดจากผลกระทบการระคายเคืองของสารที่เกี่ยวข้อง
อย่างไรก็ตาม รายการ TLV ของสารและวัสดุที่เป็นอันตรายต่อสุขภาพยังไม่สมบูรณ์ เพื่อแก้ไขปัญหานี้ จึงได้มีการจัดทำบัญชีรายชื่อสารละลายอินทรีย์ที่มีค่า "ค่าเกณฑ์จำกัดเบื้องต้น" (tentative threshold limit values) ขึ้น ซึ่งค่านี้ยังไม่ได้รับการพิจารณาโดยสภาสภาพแวดล้อมการทำงาน และโดยทั่วไปเอกสารข้อมูลประกอบก็ยังไม่สมบูรณ์เทียบเท่ากับสารในรายการ TLV หลัก
การใช้สารทดแทนโดยพิจารณาค่า TLV
การทดแทนโดยใช้ค่าเกณฑ์ขีดจำกัด (Threshold Limit Value: TLV) หมายถึงการใช้ค่า TLV เป็นเกณฑ์หนึ่งในการตัดสินใจเลือกสารหรือวัสดุทดแทน โดยมุ่งเน้นการลดความเสี่ยงต่อสุขภาพจากการสัมผัสสารอันตรายในสถานที่ทำงาน ในกระบวนการนี้ จะมีการเปรียบเทียบค่า TLV ของสารที่ใช้อยู่เดิมกับสารทดแทนที่เป็นไปได้ สารที่มีค่า TLV สูงกว่าจะบ่งชี้ว่ามีความเป็นอันตรายต่อสุขภาพน้อยกว่าเมื่อพิจารณาจากระดับความเข้มข้นที่อนุญาตให้สัมผัสได้ตลอดช่วงเวลาการทำงาน 8 ชั่วโมง ดังนั้น การเลือกสารทดแทนที่มีค่า TLV สูงกว่าจึงถือเป็นแนวทางหนึ่งในการปรับปรุงสภาพแวดล้อมการทำงานให้ปลอดภัยยิ่งขึ้น
อย่างไรก็ตาม การใช้ TLV เป็นเกณฑ์เดียวในการตัดสินใจทดแทนไม่เพียงพอ จำเป็นต้องพิจารณาปัจจัยอื่น ๆ ร่วมด้วย เช่น ความสามารถในการระเหย สมบัติทางเคมีและกายภาพ ผลกระทบต่อสิ่งแวดล้อม รวมถึงต้นทุนในการนำไปใช้จริง ทั้งนี้ เพื่อให้การทดแทนเกิดประโยชน์สูงสุดทั้งในด้านสุขภาพ ความปลอดภัย และประสิทธิภาพการทำงาน
ตัวอย่างเช่น การผลิตกาวพีวีซี PVC
บริษัทแห่งหนึ่งได้ติดต่อขอคำปรึกษาจากหน่วยบริการด้านอาชีวอนามัย เนื่องจากพบว่ามีพนักงานบางรายเกิดอาการปวดศีรษะและอ่อนเพลียขณะทำการยึดติดวัสดุที่มีมการใช้กาวพีวีซี (PVC) ทางบริษัทจึงต้องการให้หน่วยบริการด้านอาชีวอนามัยช่วยจัดหาและแนะนำกาวยึดติดที่มีผลกระทบต่อสิ่งแวดล้อมน้อยกว่าเพื่อใช้ทดแทนวัสดุเดิม. ผลิตภัณฑ์กาวที่ใช้อยู่ในปัจจุบันประกอบด้วยสารบิวทาโนน (เมทิลเอทิลคีโตน, MEK), เตตระไฮโดรฟูแรน (THF) และไดเมทิลฟอร์มาไมด์ (DMF) โดยในสถานที่ทำงานมีการใช้ถุงมือป้องกันและระบบดูดไอระเหย (exhaust box) เพื่อควบคุมการสัมผัสสารเคมีดังกล่าว
การศึกษาผลิตภัณฑ์กาวทางเลือกพบว่ากาวที่มีองค์ประกอบหลักเป็นสารเอ็นเมทิลไพโรลิโดน (N-methyl- pyrrolidone, NMP) เป็นตัวเลือกที่เหมาะสม โดยเลือกผลิตภัณฑ์นี้จากการพิจารณาข้อมูลหลายด้าน รวมถึงการวัดอัตราการระเหยของกาวชนิดต่าง ๆ ซึ่งได้ดำเนินการโดยห้องปฏิบัติการอิสระตามคำร้องขอของผู้ผลิตรายหนึ่ง อย่างไรก็ตาม ไม่นานหลังจากการนำกาวชนิดใหม่นี้มาใช้ พนักงานคนหนึ่งเริ่มมีอาการแขนชา ส่งผลให้มีการรายงานการเจ็บป่วย นอกจากนี้ยังพบปัญหาด้านคุณภาพในการยึดติดของวัสดุ และระยะเวลาการตั้งตัวของกาวก็เพิ่มขึ้นอย่างมีนัยสำคัญ
โดยสารเคมีที่เป็นส่วนประกอบของกาวพีวีซี ประกอบไปด้วย สารต่อไปนี้
| Product-1 | Product-2 | |||
|---|---|---|---|---|
| หัวข้อ | THF | MEK | DMF | NMP |
| ค่าขีดจำกัดการรับสัมผัสสาร Threshold limit value (ppm) | 200 | 100 (skin) | 10 (skin) | 100 |
| ปริมาณสารในผลิตภัณฑ์ (%) | 55 | 17 | 7 | 70 |
*แสดงส่วนผสมที่แสดงเป็น %v/v ของผลิตภัณฑ์ ที่เหลือของส่วนผสมเป็นของแข็งแห้ง
การเปรียบเทียบผลิตภัณฑ์ทั้งสองโดยใช้ค่า TLV (Threshold Limit Value) นั้นไม่ใช่เรื่องง่าย เนื่องจากไม่มีสูตรมาตรฐานที่สามารถคำนวณค่า TLV "รวม" สำหรับผลิตภัณฑ์ที่ประกอบด้วยสารหลายชนิดแต่ละชนิดมีค่า TLV ของตนเอง (เช่น ผลิตภัณฑ์ที่ 1) ได้อย่างชัดเจน ตัวอย่างเช่น ประมาณครึ่งหนึ่งของผลิตภัณฑ์ที่ 1 ประกอบด้วยสารที่มีค่า TLV สูงกว่าค่า TLV ของผลิตภัณฑ์ที่ 2 อย่างไรก็ตามในผลิตภัณฑ์ที่ 1 มีปริมาณ DMF ซึ่งเป็นสารที่มีค่า TLV ต่ำกว่าค่า TLV ของ NMP ในผลิตภัณฑ์ที่ 2 อยู่ด้วย ดังนั้น การพิจารณาโดยอิงเฉพาะค่า TLV เพียงอย่างเดียวยังไม่สามารถชี้ชัดได้ว่าควรเลือกผลิตภัณฑ์ใด ในตัวอย่างของกาวยึดติด PVC เราได้เห็นแล้วว่า เป็นไปไม่ได้ที่จะเปรียบเทียบค่า TLV ของผลิตภัณฑ์สองชนิดได้โดยตรง เมื่อผลิตภัณฑ์เหล่านั้นประกอบด้วยสารหลายชนิดที่มีค่า TLV แยกกัน
สิ่งสำคัญที่ต้องตระหนักคือ ค่า TLV ให้ข้อมูลเฉพาะเกี่ยวกับความเข้มข้นในอากาศเท่านั้น และกล่าวถึงการสัมผัสรูปแบบอื่น ๆ ในระดับที่จำกัดมาก หมายเหตุเกี่ยวกับการดูดซึมทางผิวหนัง (skin notation) ซึ่งระบุในตาราง สำหรับสารที่สามารถดูดซึมผ่านผิวหนังได้ เป็นความพยายามในการจัดการกับประเด็นนี้ อย่างไรก็ตาม ไม่ใช่ว่าสารทุกชนิดที่สามารถดูดซึมผ่านผิวหนังได้จะได้รับการระบุ เช่น NMP ซึ่งเป็นที่ทราบกันว่าสามารถซึมผ่านผิวหนังได้
สุดท้ายยังมีความแตกต่างอย่างมากในคุณสมบัติทางกายภาพและเคมีของสาร เช่น อัตราการระเหย ซึ่งมีความสำคัญอย่างยิ่งเนื่องจากเป็นตัวกำหนดปริมาณสารที่บุคคลหนึ่งสูดดมเข้าไป ซึ่งหมายความว่าการเปลี่ยนสารไปใช้สารที่มีค่า TLV สูงเป็นสองเท่า อาจส่งผลให้เกิดอันตรายต่อสุขภาพเพิ่มขึ้นได้ หากสารดังกล่าวมีอัตราการระเหยเร็วกว่าสารเดิมถึง 10 เท่า ปัญหาดังกล่าวได้รับการแก้ไขโดยการใช้เครื่องมือ "อัตราอันตรายจากไอระเหย" (Vapor Hazard Ratio, VHR) และ "ปัจจัยการแทนที่" (Substitution Factor, SUBFAC) ซึ่งจะได้รับการอธิบายในส่วนถัดไป
2. อัตราความเสี่ยงจากไอระเหย (Vapor Hazard Ratio: VHR):
เป็นการวัดความเสี่ยงที่เกี่ยวข้องกับการสูดดมไอระเหยของสารเคมี โดยเปรียบเทียบความเข้มข้นของไอระเหยกับค่าเกณฑ์จำกัดการสัมผัส เพื่อประเมินระดับอันตราย
เมื่อค่า TLV ทำหน้าที่เป็นเพียง “ดัชนีทางพิษวิทยา” (toxicological index) เท่านั้น VHR (Vapor Hazard Ratio) จะสะท้อนความน่าจะเป็นในการที่ความเข้มข้นของสารเคมีในอากาศจะเกินค่า TLV โดยใน VHR จะคำนึงถึงพฤติกรรมของสารเคมีที่แตกต่างกันในสภาวะแวดล้อมการทำงาน กล่าวคือ ความสามารถในการระเหยของสารเคมีแต่ละชนิดมีความแตกต่างกัน ซึ่งส่งผลโดยตรงต่อระดับการสัมผัสสารของผู้ปฏิบัติงาน
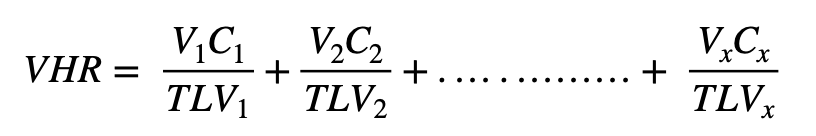
สำหรับสารบริสุทธิ์ อัตราส่วนอันตรายจากไอระเหย (Vapor Hazard Ratio: VHR) ถูกกำหนดให้เป็นอัตราส่วนระหว่าง ความเข้มข้นของไอระเหยที่อิ่มตัว ของสารที่อุณหภูมิห้อง กับ ค่าขีดจำกัดความเข้มข้นในอากาศ (Threshold Limit Value: TLV) ของสารนั้น สามารถเขียนในรูปสมการได้ดังนี้:

โดยที่: Ci = ความเข้มข้นของไอระเหยที่อิ่มตัวของสาร (โดยปกติจะแสดงในหน่วย mg/m³)
TLVi = ค่าขีดจำกัดความเข้มข้นของสารในอากาศ (หน่วยเป็น mg/m³ เช่นกัน)
ดังนั้น VHR จะให้ค่าความเข้มข้นในบรรยากาศสามารถเกินค่าที่กำหนดสำหรับการสัมผัสในสถานประกอบการได้ง่ายเพียงใด ภายใต้สภาวะมาตรฐาน
การแปลความหมาย: หาก VHR มีค่าสูง แสดงว่าสารนั้นสามารถทำให้ความเข้มข้นในอากาศเกิน TLV ได้ง่าย ซึ่งหมายถึง ความเสี่ยงในการสัมผัสสูง / หาก VHR มีค่าต่ำ แสดงว่ามีโอกาสน้อยที่ความเข้มข้นจะเกิน TLV ซึ่งหมายถึง ความเสี่ยงในการสัมผัสต่ำ
Ci มักแสดงในหน่วยของความดัน (เช่น mmHg, Pa, atm) และจะเรียกในลักษณะนี้ว่า "ความดันไออิ่มตัว" (pressure of saturated vapors), ความดันไอ (vapor pressure) หรือชื่อที่คล้ายกัน
หาก Ci ถูกระบุเป็นหน่วย mmHg การแปลงค่าไปเป็นหน่วย ppm สามารถทำได้โดยใช้สูตร:

แม้ว่า VHR จะถูกกำหนดขึ้นสำหรับสารบริสุทธิ์เท่านั้น แต่ก็มักถูกนำไปประยุกต์ใช้กับสารประกอบอยู่บ่อยครั้ง

สารประกอบในที่นี้ประกอบด้วยสาร x ชนิด โดยแต่ละชนิดมีค่า TLV และความดันไออิ่มตัว (ความเข้มข้นสมดุล) ของตนเอง สารแต่ละชนิดมีปริมาณอยู่ในสารประกอบตามค่าน้ำหนักร้อยละ (V)
การใช้สารทดแทนโดยพิจารณาค่า VHR
การที่ค่าระดับความเข้มข้นของสารเคมีจะสูงเกินค่าขีดจำกัด TLV หรือไม่นั้น ย่อมขึ้นอยู่กับคุณสมบัติของสารเคมี ความสามารถในการกลายเป็นไอของสาร รวมถึงวิธีการจัดการกับผลิตภัณฑ์ดังกล่าว
เนื่องจาก VHR แสดงถึงความน่าจะเป็นที่ค่า TLV จะถูกเกินขีดจำกัด ดังนั้น ผลิตภัณฑ์ที่มีค่า VHR ต่ำจะได้รับการพิจารณาให้เป็นตัวเลือกที่ดีกว่าผลิตภัณฑ์ที่มีค่า VHR สูง
ตัวอย่างการใช้ค่า VHR ในการพิจารณาความเป็นอันตราย
การใช้สารทดแทนในกรณีของ กาว PVC ในที่นี้ดำเนินการโดยอาศัยการคำนวณค่า VHR (Vapor Hazard Ratio)
| Product-1 | Product-2 | |||
|---|---|---|---|---|
| หัวข้อ | THF | MEK | DMF | NMP |
| ค่าขีดจำกัดการรับสัมผัสสาร Threshold limit value (ppm) | 200 | 100 (skin) | 10 (skin) | 100 |
| ความเข้มข้นของสารที่สภาวะสมดุล (ppm) | 170,000 | 127,000 | 3,751 | 525 |
| Quantity (%) | 55 | 17 | 7 | 70 |
*แสดงส่วนผสมที่แสดงเป็น %v/v ของผลิตภัณฑ์ ที่เหลือของส่วนผสมเป็นของแข็งแห้ง
การคำนวณค่า VHR ได้ผลการคำนวณดังนี้
VHR (product-1) = 710
VHR (product-2) = 4
VHR (1) / VHR (2) = 178
อัตราส่วนระหว่างค่า VHR แสดงถึงอัตราส่วนระหว่างจำนวนครั้งที่ค่าขีดจำกัดความเข้มข้นในอากาศ (Threshold Limit Value; TLV) อาจถูกเกินได้ในทางทฤษฎี การคำนวณค่า VHR ให้ผลเป็นประโยชน์ต่อผลิตภัณฑ์ที่ 2: การเกินค่าขีดจำกัดความเข้มข้นในอากาศสูงสุดของผลิตภัณฑ์นี้ต่ำกว่าของผลิตภัณฑ์ที่ 1 ถึง 178 เท่า
มีข้อสังเกตว่า Ci ไม่ได้บ่งบอกถึงอัตราการระเหยของสาร แต่เพียงแสดงค่าความเข้มข้นสูงสุดของสารในอากาศเท่านั้น อย่างไรก็ตาม ค่า Ci และอัตราการระเหยมีความสัมพันธ์กันโดยประมาณ กล่าวคือ หากค่า Ci เพิ่มขึ้นเป็นสองเท่า อัตราการระเหยจะเพิ่มขึ้นประมาณสามเท่า
ตรงกันข้ามกับค่า TLV วิธีการของ VHR นั้นคำนึงถึงอัตราการระเหยที่แตกต่างกันของสารเคมี
VHR ใช้ค่า Threshold Limit Values (TLVs) เป็นตัวบ่งชี้ผลกระทบที่เป็นอันตรายต่อสุขภาพ ดังนั้น ข้อจำกัดของ TLV จึงถูกส่งผ่านมาสู่ VHR ด้วย วิธีการนี้อาจนำไปสู่ผลลัพธ์ที่คลาดเคลื่อน หากเป็นการเปรียบเทียบผลิตภัณฑ์ที่มีองค์ประกอบต่างกันอย่างมาก ความแตกต่างอาจเกี่ยวข้องกับความมีขั้ว (polarity) ขององค์ประกอบ ซึ่งสะท้อนถึงสมบัติการละลายเข้ากันได้ เช่น เบนซีนเป็นตัวทำละลายไม่มีขั้ว ในขณะที่น้ำและเอทานอลเป็นตัวทำละลายที่มีขั้ว ดังนั้นจึงสมเหตุสมผลที่จะต้องกำหนดให้มีความแตกต่างของค่า VHR อย่างมาก เพื่อให้มั่นใจได้ว่าการแทนที่ด้วยสารใหม่จะได้ผลดี
ผลลัพธ์จากการคำนวณ VHR ของผลิตภัณฑ์ "ประเภทน้ำ" ที่มีสารตัวทำละลายอินทรีย์ตกค้าง เช่น โทลูอีนและเบนซีน จะเบี่ยงเบนจากสภาพจริงอย่างมาก
VHR จึงไม่สามารถใช้เป็นเครื่องมือเพียงอย่างเดียวในการตัดสินใจแทนที่สารได้ เนื่องจากไม่ได้คำนึงถึงการดูดซึมผ่านผิวหนัง หรือการสูดดมในรูปแบบละอองลอย (aerosols) รวมถึงความเสียหายที่อาจเกิดขึ้นจากการสัมผัสดังกล่าวด้วย
คำถามที่ชัดเจนก็คือ: ค่า VHR ต้องต่ำกว่าค่าเดิมกี่เท่าเพื่อให้การแทนที่สำเร็จ? การแทนที่ด้วยผลิตภัณฑ์ที่มีค่า VHR เพียงครึ่งหนึ่งนั้น "เพียงพอ" หรือไม่? หรือจำเป็นต้องมีอัตราส่วนที่มากกว่า 100 เท่า? จำเป็นต้องตระหนักว่า VHR เป็นค่าทางทฤษฎี ซึ่งไม่ได้คำนึงถึงลักษณะการใช้งานของผลิตภัณฑ์ในสภาพแวดล้อมการทำงานจริง
การประเมินความเป็นพิษ
ในขณะที่ค่า VHR SUBFAC และ MAL ขึ้นอยู่กับค่าขีดจำกัด (TLV) ซึ่งเป็นดัชนีชี้วัดของผลกระทบที่เป็นอันตรายต่อสุขภาพ แต่การประเมินความเป็นพิษขึ้นอยู่กับข้อมูลผลกระทบที่เป็นอันตรายต่อสุขภาพ
การประเมินความเป็นพิษเป็นกระบวนการสำคัญในการหาสารเคมีทดแทนที่ปลอดภัยกว่าในที่ทำงาน โดยการประเมินนี้จะพิจารณาข้อมูลที่อธิบายถึงผลกระทบที่เป็นอันตรายต่อสุขภาพจากสารเคมีต่างๆ ซึ่งข้อมูลเหล่านี้อาจมาจากการทดลองในห้องปฏิบัติการกับสัตว์และจุลินทรีย์ หรือจากการศึกษาเชิงระบาดวิทยา
วัตถุประสงค์หลักของการประเมินความเป็นพิษคือการรวบรวมและวิเคราะห์ข้อมูลเพื่อประเมินผลกระทบที่เป็นอันตรายต่อสุขภาพ การประเมินนี้มีความสำคัญอย่างยิ่ง เนื่องจากช่วยให้เราทราบถึงความเสี่ยงและผลกระทบที่อาจเกิดขึ้นจากการใช้สารเคมี และสามารถหาทางเลือกที่ปลอดภัยกว่าได้
กล่าวโดยสรุป การประเมินความเป็นพิษเป็นขั้นตอนที่จำเป็นในการหาสารเคมีทดแทนที่ปลอดภัยกว่า โดยต้องรู้ถึงผลกระทบที่เป็นอันตรายต่อสุขภาพจากสารเคมีต่างๆ เพื่อให้สามารถทำการทดแทนได้อย่างมีประสิทธิภาพ
3.6.1 เครื่องมือ
การประเมินความเป็นพิษอาจแบ่งออกเป็นสองขั้นตอน: การประเมินสารเคมี
- การรวบรวมและประมวลผลข้อมูลทางพิษวิทยาของสารเคมี ขั้นตอนนี้จะส่งผลให้มีการประเมินความเป็นพิษของสาร
- การกำหนดความเสี่ยงของอันตรายต่อสุขภาพจากการใช้สารเคมี โดยพิจารณาจากข้อมูลทางพิษวิทยาดังต่อไปนี้
- การดูดซึมและการขับถ่าย, การเปลี่ยนแปลง (เมแทบอลิซึม), การสะสม
- ความเป็นพิษเฉียบพลัน
- ผลกระทบต่อผิวหนังและดวงตา
- มะเร็ง
- ความเสียหายที่มีผลต่อการสืบพันธุ์ (ความเสียหายต่อไข่และเซลล์อสุจิ, ผลกระทบที่ทำให้เกิดความพิการแต่กำเนิด, ความเสียหายจากการส่งผ่านโดยตรงหรือสารโดยน้ำนมแม่ เป็นต้น)
- ภูมิแพ้
- ความเสียหายเรื้อรังอื่นๆ ต่อสุขภาพ
3.6.1.1 การดูดซึมและการขับถ่าย, การเปลี่ยนแปลง (เมแทบอลิซึม), การสะสม
สารเคมีสามารถถูกดูดซึมเข้าสู่ร่างกายได้สามวิธี:
- ผ่านปอด (โดยการสูดดม)
- ผ่านทางเดินอาหาร
- ผ่านผิวหนังและเยื่อเมือก
ถึงแม้ว่าสารเคมีที่ใช้ในการทำงานจะไม่ถูกกินหรือดื่มโดยตรง แต่สารหลายชนิดมักถูกดูดซึมผ่านทางเดินอาหาร ตัวอย่างเช่น ฝุ่นและละอองลอย ซึ่งเมื่อติดอยู่ในเยื่อเมือกของทางเดินหายใจจะถูกขนส่งขึ้นไปยังหลอดอาหารเพื่อกลืนลงไป มีการศึกษาพบว่าตะกั่วซึ่งใช้ในอุตสาหกรรมมักถูกดูดซึมผ่านทางเดินอาหาร สาเหตุไม่เพียงแต่ที่กล่าวมาข้างต้น แต่ยังรวมถึงการที่ตะกั่วติดอยู่ที่นิ้วมือและเสื้อผ้าเมื่อรับประทานอาหารกลางวันและถูกกินเข้าไป
โครงสร้างของสารเคมีมีความสำคัญในการดูดซึมเข้าสู่ร่างกาย ขนาดของอนุภาคฝุ่นและละอองแขวนลอยจะเป็นตัวกำหนดว่าพวกมันจะไปถึงปอดหรือสะสมอยู่ในทางเดินหายใจส่วนบน
สุดท้าย โครงสร้างทางเคมีของสารจะเป็นตัวกำหนดวิธีที่ร่างกายเปลี่ยนแปลงพวกมันก่อนที่จะถูกขับออก ซึ่งอาจเกิดขึ้นได้ช้าหรือเร็ว สารบางชนิดอาจสะสม (เก็บไว้) ในร่างกาย เช่น ตะกั่ว ฟลูออรีน และสตรอนเทียม ซึ่งทั้งหมดนี้สะสมอยู่ในเนื้อเยื่อกระดูก
ตัวทำละลายอินทรีย์บางชนิดสะสมได้ง่ายในเนื้อเยื่อไขมัน (เช่น ไตรคลอโรอีเทน) มีเนื้อเยื่อไขมันมากในสมองและเส้นประสาท
ค่าครึ่งชีวิต (half life) หมายถึง ระยะเวลาที่ปริมาณของสารสลายจนเหลือครึ่งหนึ่งของปริมาณเริ่มต้น
3.6.1.2 ความเป็นพิษเฉียบพลัน
ความป็นพิษเฉียบพลันหรือ "ผลกระทบที่เกิดขึ้นทันที" ปรากฏหลังจากการสัมผัสสารในระยะสั้น ในหลายกรณี หมายถึงปริมาณที่เป็นพิษถึงตายซึ่งแสดงโดยค่าที่เรียกว่า LD แต่สิ่งสำคัญคือต้องเข้าใจว่ามีผลกระทบหลายอย่าง เช่น ปวดศีรษะและเวียนศีรษะ อาจเป็นผลกระทบเฉียบพลันได้เช่นกัน สิ่งนี้แสดงให้เห็นโดยตัวเลขต่อไปนี้ที่แสดงผลกระทบของแต่ละปริมาณ
มีข้อมูล LD50 จำนวนมากที่กำหนดโดยการทดลองกับสัตว์ โดยปกติคือหนู สัตว์จะถูกแบ่งออกเป็นกลุ่ม และแต่ละกลุ่มจะได้รับปริมาณสารที่กำหนด ปริมาณที่ฆ่าสัตว์ทดลองตาย 50% ในกลุ่มเรียกว่าค่า LD50 ค่าที่ใช้บ่อยที่สุดคือ LD50 ทางปาก (สารถูกให้ผ่านทางปาก); LD ย่อมาจาก "lethal dose" และให้ในหน่วยมิลลิกรัมของสารต่อกิโลกรัมน้ำหนักตัว
LC50 เป็นค่าอีกค่าหนึ่งที่ใช้: หมายความว่าสารนั้นถูกสูดดมเข้าไป (C ย่อมาจาก "concentration" หรือความเข้มข้น) ค่า LD50 ไม่ได้บอกเกี่ยวกับผลกระทบที่เป็นอันตรายหรือระคายเคืองที่สารอาจก่อให้เกิดขึ้นได้ทันที เช่น ปวดศีรษะ เวียนศีรษะ เจ็บป่วยเล็กน้อย ระคายเคืองทางเดินหายใจ และอื่นๆ สิ่งสำคัญคือต้องค้นหาข้อมูลที่อธิบายผลกระทบอื่นๆ ที่ไม่ใช่การเสียชีวิตต่อมนุษย์
3.6.1.3 ผลกระทบต่อผิวหนังและดวงตา
ผลกระทบต่อผิวหนังและดวงตาเป็นแบบเฉียบพลัน (ผื่นแพ้จะถูกจำแนกในผลกระทบอื่นๆ)
3.6.1.4 ผลกระทบที่ก่อให้เกิดการกลายพันธุ์
ผลกระทบเหล่านี้เรียกอีกอย่างว่าความเสียหายทางพันธุกรรมและอาจนำไปสู่การแท้งบุตร ความพิการแต่กำเนิด และมะเร็ง หากยีนถูกเปลี่ยนแปลง จะเรียกว่าการกลายพันธุ์ หากการกลายพันธุ์เกิดขึ้นในเซลล์สืบพันธุ์ (เช่น ในเซลล์ไข่) ผลของการกลายพันธุ์อาจทำให้ตัวอ่อนของเซลล์นี้ผิดรูปและอาจจบลงด้วยการแท้งบุตรในระยะแรก หากการกลายพันธุ์เกิดขึ้นในเซลล์ร่างกาย ผลลัพธ์อาจเป็นมะเร็ง
3.6.1.5 มะเร็ง
ประเภทของมะเร็งที่เกิดจากสารเคมีส่วนใหญ่เกิดจากการที่ยีนของเซลล์ถูกเปลี่ยนแปลง (ยีนกลายพันธุ์) สารก่อมะเร็งบางชนิด มีผลต่อบริเวณที่สัมผัสเอง
การจัดกลุ่มสารก่อมะเร็งของ IARC แบ่งออกเป็น 5 กลุ่มหลัก
- มีหลักฐานเพียงพอเกี่ยวกับการก่อมะเร็งในมนุษย์
- ความเป็นไปได้ที่สารอาจก่อให้เกิดมะเร็งในมนุษย์ (ข้อมูลจำกัด) 2A. สารอาจก่อมะเร็งในมนุษย์ เช่น มีหลักฐานจำกัดเกี่ยวกับการก่อมะเร็งในมนุษย์ และมีหลักฐานเพียงพอเกี่ยวกับการก่อมะเร็งในสัตว์ทดลอง
2B. สารอาจก่อมะเร็งในมนุษย์ เช่น มีหลักฐานจำกัดในมนุษย์ แต่ไม่มีหลักฐานเพียงพอในสัตว์ทดลอง - ไม่สามารถจัดประเภทตามผลกระทบที่ก่อให้เกิดมะเร็งในมนุษย์ได้
- อาจไม่ก่อมะเร็งในมนุษย์
3.6.1.6 ความเสียหายที่มีผลต่อการสืบพันธุ์
ความเสียหายเหล่านี้รวมถึงความเสียหายต่อเซลล์ไข่ เซลล์อสุจิ ตัวอ่อน และเด็ก (โดยการให้นมบุตร)
สารจะถูกประเมินว่าเป็นสารก่อความพิการแต่กำเนิด (teratogenic) ตามเกณฑ์ดังนี้:
- ลดความสามารถในการเจริญพันธุ์
- ทำลายยีน
- ทำลายตัวอ่อน
3.6.1.7 ภูมิแพ้
สารเคมีก่อให้เกิดโรคภูมิแพ้ทางเดินหายใจและโรคภูมิแพ้ผิวหนัง
3.1.1.8 ความเสียหายเรื้อรังอื่น ๆ ต่อสุขภาพ
ความเสียหายต่อปอด ตับ และสมอง
3.1.2 การทดแทนโดยการประเมินความเป็นพิษ
การประเมินความเป็นพิษมักไม่สามารถเปรียบเทียบค่าเชิงตัวเลขได้โดยตรงเพื่อพิจารณาว่าการทดแทนสำเร็จหรือไม่ จำเป็นต้องเปรียบเทียบข้อมูลดั้งเดิมจากการทดลองที่ดำเนินการภายใต้เงื่อนไขต่างๆ บางวิธีจะกำหนดตัวเลขให้กับความเป็นพิษ (เช่น ค่า LD50, ดัชนีการระคายเคืองผิวหนังและตา เป็นต้น)
3.6.3 ตัวอย่าง
ข้อมูลของกาวพีวีซี มาจาก Sax ซึ่งเป็นเอกสารอ้างอิงที่มีการใช้อย่างแพร่หลาย เป็นที่ชัดเจนว่าค่า LD50 ไม่ใช่ตัวบ่งชี้ที่ดีของผลกระทบอันตรายของกาวพีวีซี นอกจากนี้ ตารางยังแสดงให้เห็นว่าผลิตภัณฑ์ 1 มีสารที่อาจมีผลต่อระบบประสาทและทำให้เกิดความผิดปกติในทารกแรกเกิด ยิ่งไปกว่านั้น ตับและไตอาจได้รับความเสียหาย ผลิตภัณฑ์ 2 ไม่มีผลกระทบต่อสุขภาพเหล่านี้ตามเอกสารอ้างอิงที่ใช้จากข้อมูลเหล่านี้ จึงควรเลือกผลิตภัณฑ์ 2
3.6.4 การอภิปราย
การประเมินความเป็นพิษไม่สามารถลดทอนให้เป็นเพียงการเปรียบเทียบตัวเลข เช่น ค่า LD50 และดัชนีการระคายเคืองผิวหนัง ในแต่ละกรณี ข้อมูลที่ได้มาต้องถูกนำมาเปรียบเทียบและประเมิน ซึ่งมักจะยากมาก ตัวอย่างเช่น จะประเมินผลิตภัณฑ์ที่ระคายเคืองผิวหนังเมื่อเทียบกับผลิตภัณฑ์ที่อาจก่อให้เกิดความเสียหายถาวรต่อสมองอย่างไร? ดังนั้นจึงเป็นสิ่งสำคัญที่ต้องรู้กระบวนการทำงานอย่างแม่นยำ: หากไม่มีความเสี่ยงที่ผลิตภัณฑ์จะสัมผัสกับผิวหนัง การประเมินอาจทำได้ง่ายขึ้น
เงื่อนไขหนึ่งในการทำการประเมินความเป็นพิษที่ดีคือ ผลิตภัณฑ์ที่จะประเมินต้องได้รับการอธิบายโดยใช้การประกาศส่วนประกอบที่ครบถ้วน ซึ่งเป็นเรื่องยากที่จะได้มา ดังที่ผู้ปฏิบัติงานด้านอาชีวอนามัยหลายคนทราบดี เช่น จำเป็นหรือไม่ที่ต้องขอข้อมูลเกี่ยวกับส่วนประกอบในผลิตภัณฑ์ที่มีปริมาณต่ำกว่าปริมาณหนึ่ง (เช่น 0.1%)? และสิ่งเจือปน? สารก่อมะเร็งและสารก่อภูมิแพ้มักทำลายสุขภาพได้แม้ว่าปริมาณในผลิตภัณฑ์จะน้อยก็ตาม
การประเมินความเป็นพิษอย่างละเอียดต้องใช้เวลา ดังนั้นจึงควรพิจารณาว่าเมื่อใดจำเป็นต้องทำการประเมินด้วยตนเอง และเมื่อใดที่สามารถใช้ผลการประเมินของหน่วยงานอื่นได้ - และหน่วยงานใดที่อาจเชื่อถือได้ นอกจากนี้ นอกจากนี้ โดยเฉพาะในกรณีของสารใหม่มักจะขาดข้อมูลทางพิษวิทยา เกี่ยวกับผลกระทบระยะยาว ความเสียหายต่อระบบสืบพันธุ์ มะเร็ง ฯลฯ เป็นสิ่งสำคัญที่จะต้องศึกษาเงื่อนไขของการทดลอง - ใช้สัตว์ชนิดใด มีการให้ปริมาณสารเท่าใดแก่สัตว์ (และเป็นระยะเวลานานเท่าใด) ในการศึกษาทางระบาดวิทยา เป็นสิ่งสำคัญที่จะต้องรู้ระดับการสัมผัสของบุคคล อายุ นิสัยการสูบบุหรี่และการดื่มแอลกอฮอล์ ฯลฯ
| Substance | LD₅₀ oral, rat | Toxicological information | Code |
|---|---|---|---|
| THF | 3,000 mg/kg | ระคายเคืองต่อดวงตา เยื่อเมือก ผลกระทบที่เป็นพิษระดับปานกลางผ่านการกินและทางหายใจ อาจเกิดผลกระทบต่อตับและไต | 2 |
| DMF | 2,800 mg/kg | ส่งผลกระทบต่อระบบประสาทส่วนกลางของมนุษย์ ก่อให้เกิดความผิดปกติในตัวอ่อน (teratogenic) ในการทดลองกับสัตว์ มีผลกระทบที่เป็นพิษระดับปานกลางถึงต่ำในสัตว์หลายชนิด | 3 |
| MEK | 3,400 mg/kg | ผลกระทบที่เป็นพิษระดับปานกลางจากการบริโภค ผลกระทบที่เป็นพิษระดับต่ำจากการดูดซึมผ่านผิวหนัง การระคายเคืองรุนแรง (ต่อดวงตาและเยื่อเมือก) ส่งผลกระทบต่อระบบประสาทส่วนปลายและระบบประสาทส่วนกลาง ก่อให้เกิดความผิดปกติในตัวอ่อน (teratogenic) ในการทดลองกับสัตว์ | 3 |
| NMP | 4,200 mg/kg | ผลกระทบที่เป็นพิษระดับปานกลางจากการดูดซึมโดยตรงผ่านกระแสเลือด (ทางหลอดเลือดดำ) และจากช่องท้อง ผลกระทบที่เป็นพิษระดับต่ำจากการให้ทางปากหรือการดูดซึมผ่านผิวหนัง | 2 หรือ 1 |
a ในเอกสารอ้างอิงนี้ มีการกำหนดรหัสให้กับสารต่างๆ (มีห้ารหัส: U = ไม่มีข้อมูล, ไม่ทราบถึงผลกระทบที่เป็นพิษ, 0 = ไม่มีผลกระทบที่เป็นพิษ, 1 = ผลกระทบที่เป็นพิษต่ำ, 2 = ผลกระทบที่เป็นพิษปานกลาง, 3 = ผลกระทบที่เป็นพิษสูง) การกำหนดรหัสนี้ดำเนินการโดยพิจารณาทั้งผลกระทบเฉพาะที่เฉียบพลันและผลกระทบต่ออวัยวะ รวมถึงผลกระทบเฉพาะที่เรื้อรังและผลกระทบต่ออวัยวะ การแบ่งประเภทสารเคมีเช่นนี้อาจมีประโยชน์ในการประเมินความเป็นพิษ แต่ก็อาจมีปัญหาเช่นกัน ตัวอย่างเช่น ผลกระทบระยะยาวมีการถ่วงน้ำหนักเท่าใดเมื่อเทียบกับผลกระทบเฉียบพลันต่อผิวหนังและดวงตา
3.7 แนวปฏิบัติปัจจุบัน
- การเปลี่ยนผลิตภัณฑ์ที่ใช้ตัวทำละลายเป็นผลิตภัณฑ์ที่ใช้น้ำ เช่น ในหมวดหมู่ของสี สารทำความสะอาดและขจัดคราบ และสารหล่อลื่น
- การเปลี่ยนผลิตภัณฑ์ที่มีไฮโดรคาร์บอนสายสั้นเป็นผลิตภัณฑ์ที่มีไฮโดรคาร์บอนสายยาว
- การทดแทนที่หลีกเลี่ยงกลุ่มสารเคมีหลายกลุ่ม เช่น อีพ็อกซี่, เอมีน, ตะกั่วและโลหะหนักอื่นๆ, แอสเบสตอส และอื่นๆ
แนวปัจจุบันมักเกิดจากการศึกษาที่ละเอียดถี่ถ้วน สารที่ทดแทนอาจทำงานได้ดี แต่ในกระบวนการทำงานพิเศษบางอย่าง อาจทำงานได้ไม่ดี เช่น หากมีพื้นผิวร้อนใกล้ที่ทำงาน หรือหากมีการเชื่อม อาจจำเป็นต้องตรวจสอบว่าส่วนประกอบของผลิตภัณฑ์ใหม่สามารถเปลี่ยนเป็นก๊าซพิษเมื่อถูกความร้อนหรือแสงอัลตราไวโอเลตหรือไม่ ซึ่งอาจเกี่ยวข้องหากตัวทำละลายอะโรมาติกถูกแทนที่ด้วยตัวทำละลายคลอรีน-ฟลูออรีน เนื่องจากสิ่งเหล่านี้สามารถเปลี่ยนเป็นสารเช่นฟอสจีนและสารคล้ายฟอสจีน
แม้ว่าการทดแทนจะประสบความสำเร็จ แต่ต้องจำไว้ว่าผลิตภัณฑ์ใหม่อาจไม่ปลอดภัยทั้งหมด แต่มีความอันตรายน้อยกว่า ดังนั้นควรจัดการด้วยความระมัดระวัง
3.9 เบ็ดเตล็ด
นอกเหนือจากเครื่องมือที่กล่าวถึงข้างต้นแล้ว ยังมีเครื่องมืออื่นๆ ที่เฉพาะเจาะจงมากหรือน้อยสำหรับการประเมินสารและผลิตภัณฑ์ รายการต่อไปนี้ไม่ครบถ้วนสมบูรณ์; นอกจากนี้ยังมีเครื่องมือหลายอย่างสำหรับการประเมินคุณสมบัติทางเทคนิคที่ไม่ได้รวมอยู่ ซึ่งคุณสมบัติเหล่านี้มักเป็นตัวกำหนดว่าการทดแทนจะประสบความสำเร็จหรือไม่
3.9.1 การจัดประเภทลวดเชื่อม
ลวดเชื่อมเคลือบสำหรับงานเชื่อมถูกจัดประเภทตามคำสั่งเลขที่ 407 จากปี 1979 ที่ออกโดยกระทรวงแรงงาน การจัดประเภทนี้เกี่ยวข้องกับควันที่เกิดจากการเชื่อม มีทั้งหมดเจ็ดประเภท; ประเภท 1 เกิดควันน้อยที่สุด ประเภท 7 เกิดควันมากที่สุด
ผู้นำเข้า/ผู้ผลิตมีหน้าที่รับผิดชอบให้ลวดเชื่อมมีหมายเลขประเภทควันที่ถูกต้อง การจัดประเภทต้องดำเนินการโดยสถาบันทดสอบที่ได้รับอนุญาต สำหรับวัตถุประสงค์ของการทดแทน ประเภทที่ต่ำที่สุดเป็นตัวเลือกที่ดีที่สุด
3.9.2 การตรวจวัดสารเคมีในอากาศ
แทนที่จะคำนวณความเสี่ยงในการเกินค่าขีดจำกัด (โดยใช้ TLV และ SUBFAC เป็นต้น) สารเคมีในอากาศอาจถูกตรวจวัด ดังตัวอย่างของกาว PVC การเปลี่ยนผลิตภัณฑ์ 1 ด้วยผลิตภัณฑ์ 2 ได้พิจารณาจากการตรวจวัดดังกล่าว ในกรณีนี้ การตรวจวัดสารเคมีในสถานที่ทำงานให้ข้อมูลที่ถูกต้องกว่าการวัดความเข้มข้นของสารเคมีในห้องปฏิบัติการและการคำนวณ แต่มีความไม่แน่นอนมากกว่าเนื่องจากความแปรปรวนในการทำงาน สภาพความร้อน เป็นต้น ในตัวอย่างที่กล่าวถึง การคำนวณจะให้ผลลัพธ์เดียวกันและไม่จำเป็นต้องมีการวัด
3.9.3 กลิ่น
การทดแทนอาจได้รับแรงจูงใจจากกลิ่นที่ไม่ดีหรือระคายเคืองของสาร อย่างไรก็ตาม "คุณภาพ" ของกลิ่นและขีดจำกัดของกลิ่นไม่ได้เชื่อมโยงกับคุณสมบัติที่เป็นอันตรายของสาร เช่น คาร์บอนมอนอกไซด์ไม่สามารถได้กลิ่นแม้ในความเข้มข้นที่สูงกว่าค่าขีดจำกัด ในขณะที่ขีดจำกัดกลิ่นของไฮโดรเจนซัลไฟด์ต่ำกว่าค่าขีดจำกัดมาก
3.9.4 ข้อมูลความปลอดภัยของสารเคมี (Safety Data Sheet หรือ SDS)
เป็นเอกสารสำคัญที่ให้ข้อมูลเกี่ยวกับสารเคมีและวิธีการจัดการอย่างปลอดภัย
ข้อมูลความปลอดภัยของสารเคมี มักใช้เป็นข้อมูลพื้นฐานในการทดแทน โดยมีข้อมูลเกี่ยวกับ:
องค์ประกอบหลักของเอกสาร SDS
1. การระบุสารเคมี
- ชื่อผลิตภัณฑ์และผู้ผลิต
- ตัวระบุผลิตภัณฑ์ (เช่น CAS number)
- การใช้งานที่แนะนำและข้อห้าม
2. การระบุอันตราย
- การจำแนกประเภทอันตราย
- ฉลากและสัญลักษณ์เตือนภัย
- ข้อความแสดงความเป็นอันตราย
3. องค์ประกอบของสารและข้อมูลเกี่ยวกับส่วนผสม
- สารเคมีที่เป็นองค์ประกอบ
- สารเจือปนที่เป็นอันตราย
4. มาตรการปฐมพยาบาล
- วิธีการปฐมพยาบาลเบื้องต้นสำหรับการสัมผัสแต่ละกรณี (การสูดดม การสัมผัสผิวหนัง การสัมผัสดวงตา การกลืนกิน)
- ความจำเป็นที่ต้องปรึกษาแพทย์
5. มาตรการผจญเพลิง
- สารดับเพลิงที่เหมาะสม
- สารดับเพลิงที่ห้ามใช้
- อุปกรณ์ป้องกันพิเศษสำหรับผู้ผจญเพลิง
6. มาตรการเมื่อเกิดการรั่วไหล
- ข้อควรระวังส่วนบุคคล
- ข้อควรระวังด้านสิ่งแวดล้อม
- วิธีการและอุปกรณ์สำหรับเก็บกวาดและควบคุมสาร
7. การขนถ่ายและการจัดเก็บ
- ข้อควรระวังในการขนถ่าย
- การจัดเก็บที่เหมาะสม
8. การควบคุมการสัมผัสและการป้องกันส่วนบุคคล
- ค่าที่กำหนดการสัมผัส (เช่น TLV, PEL)
- การควบคุมทางวิศวกรรม
- อุปกรณ์ป้องกันส่วนบุคคล (PPE)
9. สมบัติทางกายภาพและทางเคมี
- ลักษณะภายนอก
- จุดเดือด จุดหลอมเหลว จุดวาบไฟ
- ความหนาแน่น ความสามารถในการละลาย
10. ความเสถียรและความสามารถในการเกิดปฏิกิริยา
- ความเสถียรทางเคมี
- ปฏิกิริยาที่อาจเป็นอันตราย
- สภาวะที่ควรหลีกเลี่ยง
11. ข้อมูลพิษวิทยา
- ข้อมูลเกี่ยวกับผลกระทบทางพิษวิทยา
- ผลจากการสัมผัสเฉียบพลันและเรื้อรัง
12. ข้อมูลสิ่งแวดล้อม
- ความเป็นอันตรายต่อระบบนิเวศ
- ความคงทนและการย่อยสลายได้ทางชีวภาพ
13. ข้อควรระวังในการกำจัด
- วิธีการกำจัดที่เหมาะสม
14. ข้อมูลการขนส่ง
- หมายเลข UN
- ชื่อที่เหมาะสมในการขนส่ง
- ประเภทความเป็นอันตรายในการขนส่ง
15. ข้อมูลกฎหมาย
- กฎระเบียบที่เกี่ยวข้องกับความปลอดภัย สุขภาพ และสิ่งแวดล้อม
16. ข้อมูลอื่น ๆ
- วันที่จัดทำ/ปรับปรุงเอกสาร
- แหล่งข้อมูลอ้างอิง
ความสำคัญของ SDS
- การจัดการความเสี่ยง: ช่วยในการระบุอันตรายและการประเมินความเสี่ยงในสถานที่ทำงาน
- ความปลอดภัยของคนงาน: ให้ข้อมูลที่จำเป็นเพื่อปกป้องคนงานจากอันตรายทางเคมี
- การปฏิบัติตามกฎระเบียบ: จำเป็นต้องมีในหลายประเทศเพื่อให้เป็นไปตามกฎหมายความปลอดภัยในสถานที่ทำงาน
- การตอบสนองต่อเหตุฉุกเฉิน: ให้ข้อมูลสำคัญสำหรับการตอบสนองต่อเหตุฉุกเฉินเกี่ยวกับสารเคมี